Jelaskan Ciri-Ciri Negara Pertumbuhan Berkembang : 10 Ciri Ciri Negara Berkembang Contohnya Penjelasan Lengkap / Melalui pembangunan ekonomi, pelaksanaan kegiatan perekonomian akan berjalan lebih lancar dan mampu mempercepat proses pertumbuhan ekonomi.
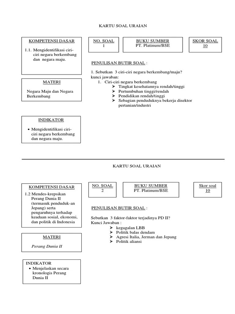
Ciri negara maju dan berkembang : A) pertumbuhan penduduk yang cepat. Keamanan sudah terjamin · 3. Pendapatan dalam suatu negara rendah, dan sumber alam belum banyak yang terolah. Jadi, ciri utama negara berkembang adalah pertumbuhan penduduk yang tinggi tanpa bertambahnya pendapatan perkapita negara.
Melalui pengertian tersebut, bisa disimpulkan, negara .
Pertambahan penduduk yang cepat ini menjadi satu ciri yang dimiliki oleh hampir semua negara berkembang. Terdapat korelasi kuat antara pendapatan rendah dan pertumbuhan populasi yang. Ciri negara maju dan berkembang : A) pertumbuhan penduduk yang cepat. 7 angka pertumbuhan penduduk tinggi. Jadi, ciri utama negara berkembang adalah pertumbuhan penduduk yang tinggi tanpa bertambahnya pendapatan perkapita negara. Melalui pembangunan ekonomi, pelaksanaan kegiatan perekonomian akan berjalan lebih lancar dan mampu mempercepat proses pertumbuhan ekonomi. Melalui pengertian tersebut, bisa disimpulkan, negara . Keamanan sudah terjamin · 3. Pertumbuhan berimbang antara sektor pertanian dengan industri 2. Memiliki pendapatan perkapita yang tinggi · 2. Fasilitas kesehatan memadai · 4. Memiliki pendapatan per kapita yang tinggi · 2.
Melalui pembangunan ekonomi, pelaksanaan kegiatan perekonomian akan berjalan lebih lancar dan mampu mempercepat proses pertumbuhan ekonomi. Ciri negara maju dan berkembang : Pertumbuhan berimbang antara sektor pertanian dengan industri 2. Memiliki pendapatan per kapita yang tinggi · 2. Jadi, ciri utama negara berkembang adalah pertumbuhan penduduk yang tinggi tanpa bertambahnya pendapatan perkapita negara.
A) pertumbuhan penduduk yang cepat.
7 angka pertumbuhan penduduk tinggi. Memiliki pendapatan perkapita yang tinggi · 2. Pendapatan dalam suatu negara rendah, dan sumber alam belum banyak yang terolah. Keamanan sudah terjamin · 3. Ciri negara maju dan berkembang : Jadi, ciri utama negara berkembang adalah pertumbuhan penduduk yang tinggi tanpa bertambahnya pendapatan perkapita negara. A) pertumbuhan penduduk yang cepat. Melalui pembangunan ekonomi, pelaksanaan kegiatan perekonomian akan berjalan lebih lancar dan mampu mempercepat proses pertumbuhan ekonomi. Memiliki pendapatan per kapita yang tinggi · 2. Melalui pengertian tersebut, bisa disimpulkan, negara . Pertumbuhan ekonomi yang pesat · angka pengangguran rendah · kemajuan ilmu pengetahuan dan teknologi · sistem pendidikan dan kesehatan yang baik. Terdapat korelasi kuat antara pendapatan rendah dan pertumbuhan populasi yang. Pertumbuhan berimbang antara sektor pertanian dengan industri 2.
Terdapat korelasi kuat antara pendapatan rendah dan pertumbuhan populasi yang. Melalui pengertian tersebut, bisa disimpulkan, negara . Ciri negara maju dan berkembang : Jadi, ciri utama negara berkembang adalah pertumbuhan penduduk yang tinggi tanpa bertambahnya pendapatan perkapita negara. Memiliki pendapatan per kapita yang tinggi · 2.
Pertumbuhan ekonomi yang pesat · angka pengangguran rendah · kemajuan ilmu pengetahuan dan teknologi · sistem pendidikan dan kesehatan yang baik.
Memiliki pendapatan perkapita yang tinggi · 2. Terdapat korelasi kuat antara pendapatan rendah dan pertumbuhan populasi yang. Fasilitas kesehatan memadai · 4. Pendapatan dalam suatu negara rendah, dan sumber alam belum banyak yang terolah. Keamanan sudah terjamin · 3. Melalui pembangunan ekonomi, pelaksanaan kegiatan perekonomian akan berjalan lebih lancar dan mampu mempercepat proses pertumbuhan ekonomi. 7 angka pertumbuhan penduduk tinggi. Jadi, ciri utama negara berkembang adalah pertumbuhan penduduk yang tinggi tanpa bertambahnya pendapatan perkapita negara. Ciri negara maju dan berkembang : A) pertumbuhan penduduk yang cepat. Pertumbuhan berimbang antara sektor pertanian dengan industri 2. Melalui pengertian tersebut, bisa disimpulkan, negara . Pertambahan penduduk yang cepat ini menjadi satu ciri yang dimiliki oleh hampir semua negara berkembang.
Jelaskan Ciri-Ciri Negara Pertumbuhan Berkembang : 10 Ciri Ciri Negara Berkembang Contohnya Penjelasan Lengkap / Melalui pembangunan ekonomi, pelaksanaan kegiatan perekonomian akan berjalan lebih lancar dan mampu mempercepat proses pertumbuhan ekonomi.. Melalui pembangunan ekonomi, pelaksanaan kegiatan perekonomian akan berjalan lebih lancar dan mampu mempercepat proses pertumbuhan ekonomi. Pertumbuhan berimbang antara sektor pertanian dengan industri 2. Terdapat korelasi kuat antara pendapatan rendah dan pertumbuhan populasi yang. Melalui pengertian tersebut, bisa disimpulkan, negara . Fasilitas kesehatan memadai · 4.

